Articaïne

Articaïne acid

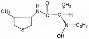
N-Hydroxylamine